【令和7年予備試験 口述試験合格発表】
令和8年2月5日(木)
【令和8年司法試験 試験日初日】
令和8年7月15日(水)
令和7年カウントダウンは,こちらのページです。
令和8年カウントダウンは,こちらのページです。

———————————————
いつも,読んでくださりありがとうございます。
令和8年予備試験の出願期間は令和8年2月16日(月)から同年3月13日(金)までです。
電子出願を行うことができます。
https://www.moj.go.jp/content/001454403.pdf
令和8年目標,短答答練が始まっています。14年ぶりに,心機一転,「短答過去問チャレンジ答練2026」に改名。値下げに加え,データ送付コースを新設。ますます元気に,受験生の皆さんを応援します!
弁護士とクライアント,経営者と従業員,あるいは国と国民。私たちがこれから向き合う法律の世界は,常に「誰かに何かを委託する」という関係性で溢れています。しかし,依頼人(プリンシパル)は,請負人(エージェント)が本当に全力を尽くしているかを見抜くことはできません。いわば,相手がサボっているか分からない状況(情報の非対称性)が生むジレンマを,数式で明らかにしようとしたのがこのモデルです。数式の中に隠された「人間心理」が見えてくると,経済学がもっと楽しくなりますよ!
次の文章は,依頼人Pが請負人Aに業務の遂行を依頼するプリンシパル・エージェントモデルについての説明である。これを読み,Pが設定する基本給w及びボーナス給bの値として最も適したものを,後記1から5までの中から一つ選びなさい。
>Aは,Pから業務の遂行を依頼された時点で,業務を遂行するかしないかをまず選ぶ。業務を遂行しない場合は,Aは別の依頼人Qの業務を引き受けて20の給与を受け取る。PとQの両方の業務を引き受けることはできない。
Pの業務を遂行することを選んだAは,更に努力するかしないかを選ぶ。努力する場合は,Aには努力するコストが10発生する。業務の成果はSかLかのどちらかであり,Pにとって,Lの方が収益が高い。Aが努力すれば,確率75%で業務の成果がLとなる。Aが努力しない場合は,業務の成果がLとなる確率は25%である。
Aが努力することを選んだかどうかはPには分からないので,Pは成果に応じてAに給与を支払う。まず,業務が遂行されれば,Pは基本給としてwをAに支払う。さらに成果がLであるときにはボーナス給bを追加的に支払う。Pは,このwとbに関する条件を事前にAに提示して,業務の遂行を依頼する。
業務を遂行し努力することを選んだ場合のAの利得は,受け取った給与から努力するコスト10を差し引いたものである。業務を遂行し努力しないことを選んだ場合のAの利得は,受け取った給与である。
PもAも,自分の期待利得を最大化するように意思決定する経済主体である。ここでは,Pは,Aが努力するために必要最低限のボーナス給bを,かつ,AがQの業務を引き受けないために必要最低限の給与を設定するものとする。
1.w=5, b=10
2.w=15,b=10
3.w=15,b=20
4.w=20,b=10
5.w=20,b=20
【解答】肢3
【解説】

プリンシパル・エージェントモデルとは,依頼人が請負人に業務の遂行を依頼した場合,請負人が,依頼人の期待通りに頑張ってくれるかどうか,分からない場合の計算モデルである。
当事者は,自分の期待利得を最大化するように意思決定する経済主体であることを前提に,依頼人が設定する基本給w及びボーナス給bの値を求める。請負人は,給与が最低20より高くないと,依頼人Pの仕事を受けないから,肢1は,基本給w+ボーナス給bが20より低いため,消去できる。
(1)ボーナス給𝑏 の決定
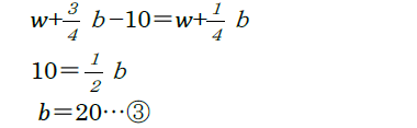
Aが努力することを選ぶには,「努力した場合の期待利得が,努力しない場合の期待利得以上」となる必要がある。
1)努力する(頑張る)場合の期待利得

2)努力しない(頑張らない)場合の期待利得

依頼者は「請負人が努力するために必要最低限の基本給b」を設定するため,①②を等式で結ぶ。

この時点で,肢2・4が消去できる。
(2)基本給𝑤 の決定
請負人が依頼者の業務を引き受けるには,「努力して依頼者の業務を行う期待利得」が「別の依頼者の業務を引き受けた場合の利得(20)」以上となる必要がある。先ほど求めた𝑏=20(③)を,努力する場合の期待利得の式(①)に代入すると,

したがって,肢5が切れ,肢3が正解となる。
(注1)期待値計算が必要となる。
(注2)肢4・5は,すでに基本給wだけ20であり,依頼主Pが設定する最低条件の給与として適当でないというあたりがつき,肢2・3まで絞ることができる。
…いかがでしょう。「経済学の計算」と聞くと身構えてしまいますが,中身は「相手の立場になって,損得勘定を想像する」という,誰もが頭の中で考えることです。先ほどまで紹介した解説は,教科書的なものですが,計算の目的さえ理解できれば,方程式まで用意しなくても解けるかもしれません。
試験現場では,まず,①請負人の立場に立ち,直感で絞り込んでみます。「努力した場合のボーナス給b」は,努力のコスト(10)を補う以上に魅力的でないと意味がありません。この視点だけで,選択肢1・2・4を切ることができます。
残りの選択肢3・5の検討で,②依頼者の立場にたち,請負人に仕事を成功させて利益を得るために,高すぎず,最低限の給与を与えればよい,というように絞ります。具体的な数値を入れて期待値計算ができれば,なおいいですが,そうでなくても対応できそうです。
一般教養は点数が高ければ短答通過に有利で,こういったパズル的な問題を一つ味方につけるだけで,合格へのハードルは下がってきます。1問3点もあり,「計算は嫌いだから」と捨ててしまうのは,本当にもったいないのです。今回の記事を読んだあなたは,このたぐいの得点源を手に入れたも同然です。この調子で,一歩ずつ合格へ近づいていきましょう。応援しています!
絶対合格!!
![]()
クリック、ありがとうございます!
また、「司法試験・予備試験ブログ」でお会いしましょう!
▼「司法試験・予備試験メルマガ」にご登録いただくと,受験に役立つ情報を便利に受け取れます。

ぜひ,ご登録ください。
———————————————
【短答過去問チャレンジ答練2026】

【2026年(令和8年目標)司法試験/予備試験 カウントダウン・タイマー】
下記のバナーをクリック!

【新刊情報】
「令和6年(2024年)単年版 司法試験・予備試験 短答 過去問集」発売中!

【司法試験・予備試験の個別指導予備校「スクール東京」のおトク情報】
● どんなに忙しい人でも合格する力が自然に身につく,司法試験・予備試験メルマガ
● フェイスブック
● ツイッター
● お悩みやご質問は、お気軽に「成川先生へのメール」まで。
●法務省HP 予備試験 / 司法試験













この記事へのコメントはありません。